
1.개요
https://oreostructure.tistory.com/31
2024년 7급 국가직 응용역학 풀이 (스마트한 풀이는 실수를 줄인다.)
총평2024년 7급 국가직 응용역학 시험은 일부 계산을 요구하는 문항이 있었지만, 전반적으로 많은 연산이 필요한 편은 아니었다.7급의 난점은 “문제 자체의 난도”보다 “한정된 시간 안에 손계
oreostructure.com
최근 게시한 2024년도 7급 응용역학 풀이 중 17번 문항에서 계산상의 오류가 포함된 채 포스팅된 것을 확인했습니다.
다행히 한 구독자분께서 세심하게 지적해주셔서 문제를 빠르게 발견하고 수정할 수 있었습니다.
이 자리를 빌려 감사의 말씀을 드립니다. 사과의 뜻을 전함과 동시에, 해당 문항에 대한 이해를 돕기 위해
이번에는 등가 격점하중(Equivalent Nodal Force) 개념을 활용하여 문제를 새롭게 설명드리고자 합니다.
2. 문제 풀이
등가 격점 하중 (Equivalent Nodal Force)
등가 격점하중이란,
격점(node)에서 같은 처짐을 유발하도록 작용하는 가상의 하중을 의미합니다.
이 하중은 구조물의 실제 고정단 모멘트(Fixed-End Moment, FEM) 와 크기는 같고 부호는 반대입니다.
즉, 고정단이 구조물을 구속하면서 만들어내는 반력을
외력의 형태로 “풀어주는” 개념이라고 이해하면 됩니다.
정리하자면,
등가 격점하중 = –(고정단 하중)목적은 실제 하중 대신, 절점에서의 처짐을 동일하게 만드는 것입니다.

등분포 하중에 대한 FEM은 위 그림과 동일합니다.
이를 등가 격점하중으로 변환하면 크기는 동일하고 부호만 반대의 격점하중으로 변환하면 됩니다.

B지점에서 작용하는 등분포 하중 w 에 의한 등가 격점하중은 위의 그림과 같이 정리할 수 있습니다.
B에 작용하는 추가 격점 하중 Nodal Force

Free Body Diagram (자유물체도)를 그려보면 C점에서 작용하는 wL^2/4 하중 만큼 B 지점에 가하여 지는 것을 볼 수 있습니다.
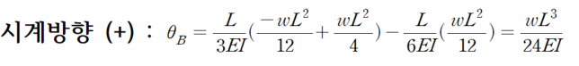
지점 B를 기준으로 시계방향 모멘트와 각도를 양의 값으로 모멘트와 각의 관계식을 세워보면 다음과 같이 표현 할 수 있습니다.

따라서 B 지점은 시계방향으로

만큼 회전하게 됩니다.
이를 통해 회전각에 의한 처짐은 하향 방향으로 나타납니다.

모멘트 M (C점에서 작용하는 wL^2/4 )도 C점의 연직 하향 방향으로 처짐을 유발합니다.

따라서 연직 하향의 처짐 둘을 더하면 전체 처짐이 산정됩니다.

'재미있는 문제- 쉬운풀이 > 정정 보의 곡률, 처짐' 카테고리의 다른 글
| 공액보법의 응용으로 쉽게 풀기 (2025년 서울시 7급 13번) (0) | 2025.11.07 |
|---|---|
| 2022년 9급 국가직 응용역학 개론 10번 - 보기를 통한 합리적 추론 기술 (0) | 2025.10.31 |
| 2018년 7급 국가직 응용역학 5번 (EI+강체 유형을 접근하는 여러 방식) (0) | 2025.10.27 |
| 2017년 7급 국가직 응용역학 15번 문제 (0) | 2025.10.21 |
| 2025년 7급 응용역학 가형 23번 풀이 (0) | 2025.09.23 |