반응형

1. 개요
위의 문제를 다음과 같은 2개 방식으로 풀어보겠습니다
① 평형방정식
② 가상변위의 법칙
난이도는 下 문제이지만 2가지의 측면으로 문제를 바라보는 것이 의미 있어 포스팅을 올립니다.
2. 평형방정식
구조물을 다음과 같이 나눠서 볼수 있습니다.

구조물 ABC의 모멘트 평형을 통해 A와 B의 반력은 w/2라는 점은 금방 나옵니다.
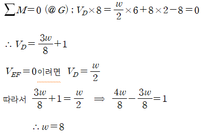
보 DG에서 모멘트 평형을 구해 D 지점의 반력을 산정 후 EF의 전단력이 0이 되려면, 산정된 값이 w/2와 동일해야 합니다.
따라서 , 다음과 같이 쓸 수 있습니다.

3. 가상변위의 법칙
변형도를 그리는데 익숙해지면 kinematic 관계는 정정구조물에 대해서 매우 금방 산정할 수 있습니다.

가상변위는 EF 구간 중앙에 shear release를 하여 주었습니다.
이때 각 외부일이 한 일의 총 합은 0이 되어야 합니다.
따라서 아래와 같이 표현할 수 있습니다.

4. 마무리 하며
간단한 문제도 다른 관점으로 입체적으로 접근 하면 도움이 됩니다.
또한 평상시 kinematic 관계에 대해 연습이 되어 있으면 소성문제, 강체 좌굴 문제 등에 대해서도 큰 자신감을 얻을 수 있습니다.
따라서 정정구조물의 반력산정과 같은 난이도 下의 문제 더라도 가상변위의 법칙으로 한번 더 생각해 보는 습관을 갖게 되면 매우 유용 합니다.
반응형
'재미있는 문제- 쉬운풀이 > 힘의 평형 (정역학)' 카테고리의 다른 글
| 2017년 7급 국가직 응용역학 4번 풀이 (힘의 평형과 가상변위의 법칙) (0) | 2025.10.30 |
|---|---|
| 2017년 응용역학 가형 20번 (0) | 2025.10.21 |