
1.개요
축부재는 7·9급 응용역학 시험에서 매우 자주 출제되는 핵심 주제입니다.
과도한 계산을 요구하지 않으면서도, 가장 효율적인 풀이 방법을 알고 있는지를 묻는 문제이기 때문에 실력을 가르는 단원이기도 합니다.
즉, 제대로 학습한 수험생이라면 쉽게 해결할 수 있지만, 그렇지 않다면 불필요하게 어렵게 느껴질 수 있습니다. 이런 점에서 축부재는 수험생의 실력을 구별하기에 매우 적절한 주제라고 할 수 있습니다.
또한 축부재는 기술사 시험이나 5급 공채 시험에서도 빠지지 않는 단골 주제입니다.
그만큼 구조물 해석의 기본기를 확인하는 가장 중요한 단원이라고 볼 수 있습니다.
더 중요한 점은, 축부재에서 배운 개념들이 휨부재로 자연스럽게 확장된다는 것입니다.
복잡한 적분 과정을 거치지 않더라도, 구조물을 적절히 치환하고 유연도(Flexibility)나 강성도(Stiffness) 개념을 활용하면 훨씬 간결하게 문제를 해결할 수 있습니다.
제가 보기에 구조물 해석에서 가장 과소평가되고, 동시에 학습이 부족한 부분은 바로 자유도(Degree of Freedom) 개념입니다.
자유도는 부정정차수만큼이나 중요한 개념이며, 문제를 바라보는 관점을 결정짓는 핵심 요소입니다.
그래서 저는 강의를 진행할 때 항상 자유도에 대한 개념을 먼저 설명하고 시작합니다.
의외로 학생분들은 이 개념을 어렵게 느끼지 않으며, 오히려 문제를 바라보는 시야가 넓어졌다는 피드백을 많이 줍니다.
이제 위의 문제를 살펴보겠습니다.
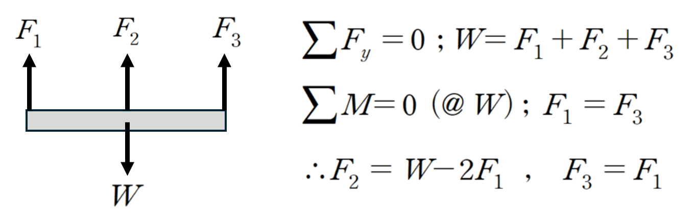
해당 구조물은 1차 부정정 축부재 구조물이며, 동시에 자유도 2개를 가지는 구조물입니다.
이 문제를 부정정차수의 관점에서 바라보면 응력법(Force Method) 으로 접근할 수 있고,
자유도의 관점에서 바라보면 변위법(Displacement Method) 으로 접근할 수 있습니다.
두 관점 모두 구조물을 이해하는 데 매우 중요한 사고방식입니다.
이제 각각의 관점에서 문제를 풀어보며, 구조물을 어떻게 분석해야 하는지 함께 살펴보겠습니다.
2.문제풀이
(1) 응력법 풀이

힘 AD 부재 내력인 F1에 대하여 모든 부재력 표현가능합니다.
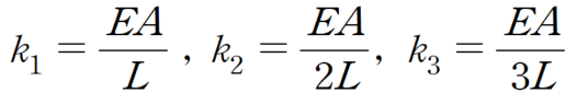
각부재의 강성도를 아래와 같이 표현할 수 있습니다.

따라서 변형에너지를 구하면 다음과 같습니다.

이를 정리하면 아래와 같습니다.

카스틸리아노 제 2법칙을 활용하면 쉽게 산정됩니다.

(2) 변위법 풀이
문제풀이 링크도 확인하실 수 있습니다.
https://oreostructure.tistory.com/161
2018년 국가직 9급 응용역학개론 (시간을 버는 풀이법)
바로 풀린다” 리스트 (문제당 30초 내외)1 (단면의 도심), 2 (등가절점하중과 축부재), 4 (바리뇽 원리 활용 간단한 반력 산정), 5 (온도와 축부재),6 (바리뇽 원리 활용 간단한 반력산정), 7(자유물체
oreostructure.com



3.마무리하며
문제를 다각도에서 바라보고 분석하는 연습은 평소 공부 과정에서 매우 중요합니다.
왜냐하면 실제 시험장에서 어떤 무기를 사용할지 결정해야 하기 때문입니다.
저는 개인적으로 변위법을 선호합니다. 다만, 단자유도 구조물에 적용할 때 가장 효율적이라고 생각합니다.
각 방법의 단점을 간단히 살펴보겠습니다.
응력법의 경우, 부정정력을 도입하더라도 결국 힘의 평형방정식을 통해 하나의 미지수로 정리해야 하는 부담이 있습니다. 중간 정리 과정에서 실수가 발생하면 전체 풀이가 흔들릴 수 있습니다.
반면 변위법은 자유도를 기준으로 접근하는 방법이기 때문에,
이 문제처럼 2자유도 구조물이라면 기본적으로 미지수 2개의 연립방정식을 풀어야 합니다.
또한 각 자유도에 따른 변위 양상을 정확히 이해하고 설정해야 하므로 사고 과정이 더 요구됩니다.
어떤 방법이 더 효율적인지는 사람마다 다를 수 있습니다.
결국은 많이 풀어보며 스스로 체득하는 과정이 필요합니다.
저는 일반적으로 다음과 같은 간단한 기준(rule of thumb)을 권합니다.
- 자유도 수가 적다면 → 변위법
- 부정정차수가 적다면 → 응력법
이 기준은 절대적인 공식은 아니지만, 시험장에서 빠르게 판단하는 데 도움이 되는 하나의 실전 감각이라고 보시면 됩니다.
축부재에 대한 강의를 진행합니다. 더 많은 관점과 팁들을 얻을 수 있습니다.
시간이 되시는 분들은 많은 참여 바랍니다.
https://oreostructure.tistory.com/163
[무료강의] 축부재의 변위법 접근
안녕하세요. 오레오구조입니다.이전 시간에는 휨부재의 처짐 특강을 진행하였습니다.문제를 풀기위한 스킬과 이를 뒷받힘 하는 이론을 같이 다뤄보았습니다.들으시는 분들에게 낯선 개념도 이
oreostructure.com
'재미있는 문제- 쉬운풀이 > 축 부재 (axial member)' 카테고리의 다른 글
| 2010년 지방직 7급 응용역학 16번 (직관적 + 빠른 풀이) (0) | 2026.01.30 |
|---|---|
| 2009년 국가직 7급 15번 문제 (자중+축부재 유형) (0) | 2025.12.11 |
| 2015년 서울시 7급 12번 (축부재의 에너지 산정+심화 개념) (0) | 2025.12.01 |
| 2015년 7급 서울시 응용역학 3번 (온도 상승 + 축부재) (0) | 2025.11.19 |
| 2023년 국가직 7급 9번과 2025년 서울시 7급 14번 비교 (Truss) (0) | 2025.11.08 |